AnyMath 文档
Notebook

模型比较

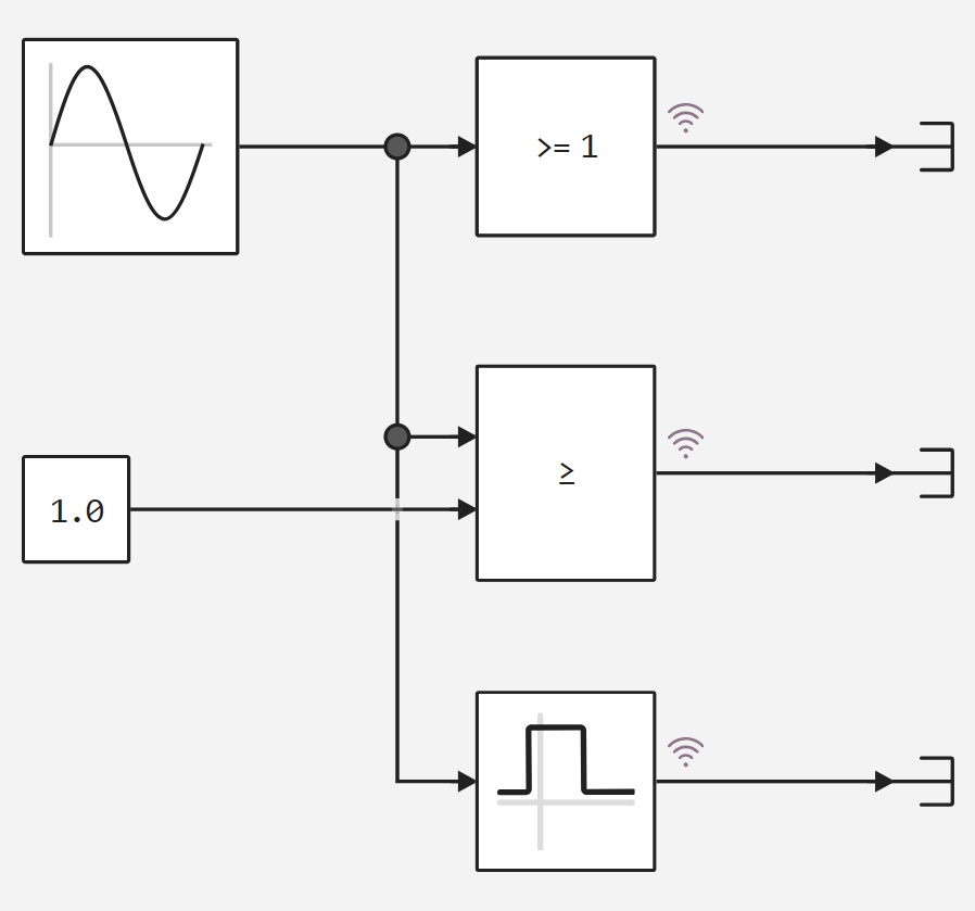
此示例显示了使用三个不同块分析信号强度的可能性。 下图显示了模型本身。

image_2.png

从模型中我们可以看到,我们可以使用几个块来实现条件x>=1inEngee的验证:

  1. 比较常数-比较常数
  2. 关系运算符-比较两个输入端口。
  3. 间隔测试-检查信号是否在允许的间隔内。 在我们的例子中,这个间隔设置为从1到10。

从模型执行的结果中我们可以看到,所有块的工作都是相同的。

image.png

结论

从本演示的结果中我们可以看到,我们可以以不同的方式执行相同的操作,这表明了建模系统的灵活性和各种方法。