变压器中性导体接地
模型描述
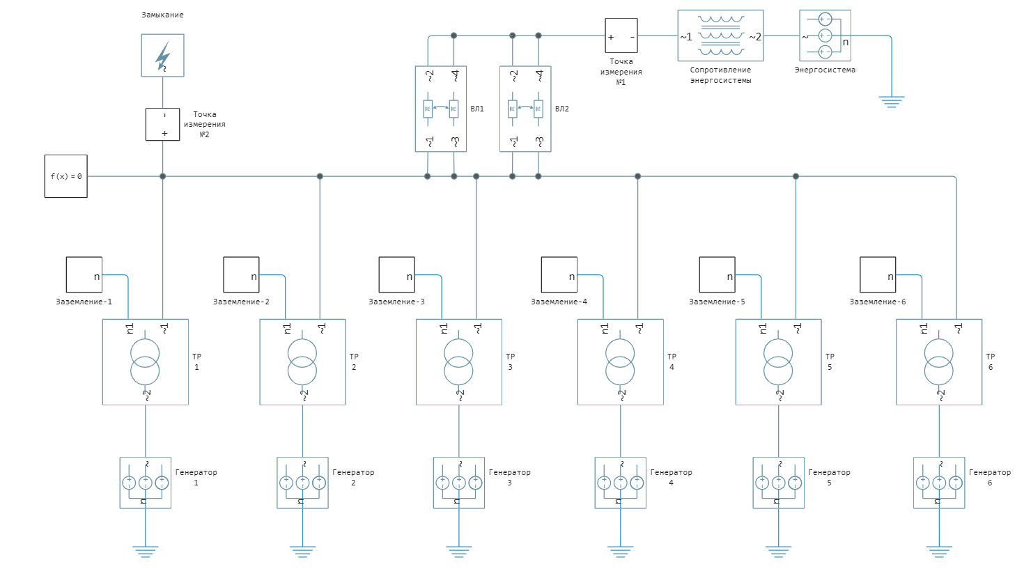
这个例子考察了变压器中性导体接地和打开TP中性导体中的电抗器对地短路电流值的影响。 该模型是一个110千伏CHP开关设备,配有六台50兆瓦发电机,从那里电力通过两条50公里长的双回路架空线路传输到电网。 0.5s时,110kV总线上发生持续时间为0.5s的单相对地短路。
限制单相短路电流的主要目的是使它们的值符合可接受的值,并增加设备的可靠性。 比较单相短路电流限制的主要方法考虑了以下情况[1-3]:
1)所有TRS的中性导体接地;
2)只有两个TP的中性点接地,其他四个接地;
3)电抗器包含在TP的所有中性导体中。
它还显示了使用命令控制从脚本开发环境启动和配置模型的过程,处理仿真结果,可视化仿真结果,并提供了独立使用模型的场景。 记录电流和电压的值,并显示它们的时间表。 该模型通过改变连接到TP中性端子的"接地"子系统中开关的位置来为每种情况配置。 模型的外观:
电力系统和发电机由[电压源]模块建模(Three-Phase)](https://engee.com/helpcenter/stable/ru/fmod-electricity-sources/voltage-source-three-phase.html),稳态模式通过设置电流线电压和相移来设置。 电力系统正向和零序的电阻由块耦合线建模(Three-Phase)。短路由[Fault]块建模(Three-Phase)](https://engee.com/helpcenter/stable/ru/fmod-electricity-utilities/fault-three-phase.html)在该块的设置中,使用*故障模式*下拉菜单,您可以选择短路的类型。 变压器由[双绕组变压器]模块建模(Three-Phase)](https://engee.com/helpcenter/stable/ru/fmod-electricity-transfomers/three-winding-transformer-(three-phase).html)。架空线路由[双回路传输]块建模Line](https://engee.com/helpcenter/stable/ru/fmod-electricity-lines/double-circuit-transmission-line.html),这是考虑到链之间的相互诱导的U形取代方案。 系统参数:
/元素/参数|
| ----------- | ----------- |
/电力系统/等效电动势 |
/发电机1-6/等效EMF |
/VL1,2|
AC240/32|
/TR1-6/TD-63000/110|
在TR的所有中性导体接地的经验
导入处理LaTeX图形和字符串所需的模块:
using Plots
gr()
加载模型:
model_name = "grounded_neutral_network_effect";
model_name in [m.name for m in engee.get_all_models()] ? engee.open(model_name) : engee.load( "$(@__DIR__)/$(model_name).engee");
当TP的所有中性导体接地时,通过改变连接到开关的常数块的值来建立第一个实验的模型。 如果常数的值为零,则开关处于闭合状态,否则打开。 因此,要将TP的中性导体接地,必须设置以下常数:
# Замыкание всех нейтралей на землю
for i in 1:6
engee.set_param!(model_name*"/Заземление-"*string(i)*"/Constant "*string(i), "Value" => 0);
engee.set_param!(model_name*"/Заземление-"*string(i)*"/Constant_ react-"*string(i), "Value" => 1);
end
启动上传的模型:
results = engee.run(model_name);
为了导入仿真结果,预先启用了必要信号的记录,并设置了它们的名称。 将results变量的电流和电压的瞬时值转换为单独的矢量:
# вектор времени симуляции
sim_time = results["i_a_kz"].time;
# ток в месте КЗ
i_fault = hcat(results["i_a_kz"].value,results["i_b_kz"].value,results["i_c_kz"].value);
# напряжение нейтрали ТР 6
Un = results["Un"].value;
# напряжение фазы B в месте КЗ
v_b_kz = results["v_b_kz"].value;
测点2处故障位置的短路电流曲线图:
plot(sim_time, i_fault./1e3, label = [L"I_a" L"I_b" L"I_c"], title = "Токи КЗ",
linecolor = [:orange :green :red], ylabel = "I, кА", xlabel="Время, c", size = (700,440))
println("Ударный ток = "*string(round(maximum(i_fault)))*" А")
print("Действующее значение периодической составляющей = "*string(round(maximum(i_fault[8000:10000,:])/sqrt(2)))*" А")
当变压器的所有中性导体接地时,单相短路电流的值变得相当大。 建议采取降低这些值的措施,以减少开关的磨损和设备的过载。 为此目的,可以应用TP中性点的部分接地,这将导致沿零序的总网络电阻的增加和单相短路电流的减少。 将所有中性导体接地的优点是中性导体上没有过电压和未损坏的相位。
四个中性导体接地的经验:
当TP的四个中性导体接地时,通过改变连接到开关的常数块的值来调整模型。 要将TP的中性导体接地,必须设置以下常数:
# разземление части нейтралей
for (i,j) in zip(1:6,[0 0 1 1 1 1])
engee.set_param!(model_name*"/Заземление-"*string(i)*"/Constant "*string(i), "Value" => j);
engee.set_param!(model_name*"/Заземление-"*string(i)*"/Constant_ react-"*string(i), "Value" => 1);
end
运行加载的模型并导入结果:
results = engee.run(model_name);
# вектор времени симуляции
sim_time = results["i_a_kz"].time;
# ток в месте КЗ
i_fault = hcat(results["i_a_kz"].value,results["i_b_kz"].value,results["i_c_kz"].value);
# напряжение нейтрали ТР 6
Un = results["Un"].value;
# напряжение фазы B в месте КЗ
v_b_kz = results["v_b_kz"].value;
测点2处故障位置的短路电流曲线图:
plot(sim_time, i_fault./1e3, label = [L"I_a" L"I_b" L"I_c"], linecolor = [:orange :green :red],
title = "Токи КЗ", ylabel = "I, кА", xlabel="Время, c", size = (700,440))
println("Ударный ток = "*string(round(maximum(i_fault)))*" А")
print("Действующая пероидическая составляющая = "*string(round(maximum(i_fault[8000:10000,:])/sqrt(2)))*" А")
由于四个TP的中性点接地,可以将短路电流的值减少约1.5倍。
接地和中性点TR6之间的电压图:
plot(sim_time, Un./1e3, label = L"U_n", title = "Напряжение нейтрали", ylabel = "U, кВ", xlabel="Время, c", size = (700,440))
println("Действующее напряжение на нейтрали = "*string(round(maximum(Un)/sqrt(2)))*" В")
println("Коэффициент замыкания на землю = "*string(round(maximum(v_b_kz)/(110e3*sqrt(2/3)),digits=3)))
TP中性点部分接地的反面是接地中性点上电压的出现。 在选择措施来限制单相短路的电流并防止在中性导体上超过工业频率电压的长期允许水平时,有必要考虑到这一事实。 通过电抗器接地可用于降低TP中性导体上的电压值。 另一个问题是完整相(在本例中为相B和C)的电压增加。 接地故障系数的值具有大于1.4的值,由于阀门避雷器和OPN的操作条件,这是不可接受的。
通过电抗器接地所有TP的经验
选择电感电阻为10欧姆的电抗器用于块TP。 当TP的中性导体通过电抗器接地时,通过改变连接到开关的常数块的值来建立实验模型。 要连接电抗器,必须设置以下常数:
# подключение реакторов
for i in 1:6
engee.set_param!(model_name*"/Заземление-"*string(i)*"/Constant "*string(i), "Value" => 1);
engee.set_param!(model_name*"/Заземление-"*string(i)*"/Constant_ react-"*string(i), "Value" => 0);
end
运行加载的模型并导入结果:
results = engee.run(model_name);
# вектор времени симуляции
sim_time = results["i_a_kz"].time;
# ток в месте КЗ
i_fault = hcat(results["i_a_kz"].value,results["i_b_kz"].value,results["i_c_kz"].value);
# напряжение нейтрали ТР 6
Un = results["Un"].value;
# напряжение фазы B в месте КЗ
v_b_kz = results["v_b_kz"].value;
测点2处故障位置处短路电流的曲线图:
plot(sim_time, i_fault./1e3, label = [L"I_a" L"I_b" L"I_c"], title = "Токи КЗ",
linecolor = [:orange :green :red], ylabel = "I, кА", xlabel="Время, c", size = (700,440))
接地和中性点TR6之间的电压图:
plot(sim_time, Un./1e3, label = L"U_n", title = "Напряжение нейтрали", ylabel = "U, кВ", xlabel="Время, c", size = (700,440))
println("Действующее напряжение на нейтрали = "*string(round(maximum(Un)/sqrt(2)))*" В")
println("Коэффициент замыкания на землю = "*string(round(maximum(v_b_kz)/(110e3*sqrt(2/3)),digits=3)))
将电抗器连接到中性导体导致零序相对于短路位置的总电阻增加,从而降低单相短路电流的值。 与TP中性点的部分接地相比,这种方法可以在短路电流值略有增加的情况下显着减少中性点和未损坏相的过电压。
此外
尝试自己更改以下模型参数,并探索这对仿真结果的影响:
- 减少和增加架空线路长度25公里;
- 接地的中性导体的数量TR;
- 使反应器的电阻增加一倍。
结论
在本例中,工具用于Engee模型的命令管理和上传模拟结果,并显示了与Plots模块的工作。 测量的电流和电压从result变量导入工作区,然后显示在时间图上并以文本形式显示。 给出并分析了中性导体接地和中性导体电抗器开关对单相短路电流的影响。
在中性点TP中使用电抗器是减少单相短路电流和限制中性点和未损坏相上的过电压的最有效方法。 然而,该措施需要额外的资本和运行成本,因此,在选择用于限制单相短路电流的方法时,必须单独考虑每种情况,同时考虑到网络电路的所有特征,设备特
连结
- RD34.20.176. 限制电力系统110-220kV电网单相短路电流的指南"(由苏联能源部于10.12.1984批准)网址:https://meganorm.ru/Data2/1/4294817/4294817287.htm (访问02.12.2024)
- 一百34.01-21.1-001-2017 ... 电压为0.4-110kV的配电网络。 工艺设计的要求。 网址:https://www.rosseti.ru/upload/iblock/c59/3yblo2sg3d5w1jd1qzun11h05ypjx66f/CTO 34.01-21.1-001-2017v2022.pdf (访问09.12.2024)
- 俄罗斯联邦能源部第6号命令
01/15/2024"关于批准35-750kv高电压交流变电站技术设计方法指南"。 网址:http://publication.pravo.gov.ru/document/0001202407020008 (访问09.12.2024)




