模拟microdopler效应
该示例介绍了微飞行器效应的概念,并演示了能够从反射信号中提取微飞行器的雷达系统的构建。 这个特性可以在将来用来解决目标分类的问题。
连接库和函数
let
installed_packages = collect(x.name for (_, x) in Pkg.dependencies() if x.is_direct_dep)
list_packages = ["DSP","FFTW","LinearAlgebra"]
for pack in list_packages
pack in installed_packages || Pkg.add(pack)
end
end
using DSP,FFTW,LinearAlgebra
gr()
default(titlefontsize=12,top_margin=5Plots.px,guidefont=10,
fontfamily = "Computer Modern",colorbar_titlefontsize=8,size=(800,400),
margin = 2Plots.mm
)
function setting_plotlyjs(fig1)
PlotlyJS.relayout!(fig1,title = "范围-多普勒肖像")
PlotlyJS.relayout!(fig1,
xaxis=PlotlyJS.attr(title="速度,m/s"),
yaxis=PlotlyJS.attr(title="范围,m",range=[0,3000])
)
fig1.plot.data[1][:colorbar][:title] = "功率,dB"
fig1.plot.data[1][:colorbar][:titleside] = "right";
display(fig1)
return
end
function helicopmotion(t,tgtmotion,BladeAng,ArmLength,BladeRate,prf = 2e4, radarpos = [0;0;0])
Nblades = size(BladeAng,2)
tgtpos,tgtvel = tgtmotion(1/prf)
RotAng = BladeRate*t;
scatterpos = [0 ArmLength*cos.(RotAng .+ BladeAng);0 ArmLength*sin.(RotAng .+ BladeAng);zeros(1,Nblades+1)].+tgtpos
scattervel = [0 -BladeRate*ArmLength*sin.(RotAng .+ BladeAng);0 BladeRate*ArmLength*cos.(RotAng .+ BladeAng);zeros(1,Nblades+1)] .+tgtvel
_,scatterang = rangeangle(scatterpos,radarpos)
return scatterpos,scattervel,scatterang
end
function spectrogramm_ped(x,t_step;down_lim = -35)
out,f,t = EngeePhased.Functions.spectrogram(sum(x;dims=1)[:];
window = DSP.kaiser(128,10),
noverlap=120,
nfft=256,fs=1/t_step,
centered=true,freqloc = "yaxis",out = :data
)
out_sig = map(x -> x < down_lim ? down_lim : x,DSP.pow2db.(abs.(out)))
fig = Plots.heatmap(
t[:],f,out_sig,color= :jet,
gridalpha=0.5,
colorbar_title = "功率,dBW",
xticks=0:0.5:3,
yticks=-500:100:500,
)
Plots.xlabel!("时间,从")
Plots.ylabel!("多普勒频率,Hz")
return fig
end
function calc_spectrogram_quad(Data,ts,T;limit = -150)
x = Data./maximum(abs.(Data))
dT = T/length(x)
F = 1/dT
spec_quad = DSP.spectrogram(x,128,120;window=DSP.kaiser(128,3.95),nfft=512,fs=F)
power_quad = map(x -> x < limit ? limit : x,pow2db.(spec_quad.power))
power_quad_quad_new = zeros(size(power_quad))
power_quad_quad_new[1:round(Int64,size(power_quad,1)/2),:] .= power_quad[round(Int64,size(power_quad,1)/2)+1:end,:]
power_quad_quad_new[round(Int64,size(power_quad,1)/2)+1:end,:] .= power_quad[1:round(Int64,size(power_quad,1)/2),:]
fig = Plots.heatmap(spec_quad.time*1e3, fftshift(spec_quad.freq)*1e-3, power_quad_quad_new,color= :jet,
gridalpha=0.5,ylims=(-10,10),xlims=(0,500),colorbar_title = "功率,dBW",
xticks=0:50:500,yticks=-10:2:10)
Plots.xlabel!("时间,ms")
Plots.ylabel!("多普勒频率,kHz")
Plots.title!("直升机反射信号的频谱图")
return fig
end
function helperAnnotateSpectrogram(fig)
Plots.plot!(fig,[20;50],[4;7],linewidth=2,c=:white,lab="",arrow=Plots.Arrow(:close, :tail, 0.5, 1))
Plots.annotate!(50, 7.5, ("刀片1", 10, :white, :center),annotationfontfamily="Roboto")
Plots.plot!(fig,[70;120],[4;5.5],linewidth=2,c=:white,lab="",arrow=Plots.Arrow(:close, :tail, 0.5, 1))
Plots.annotate!(120, 6, ("刀片2", 10, :white, :center),annotationfontfamily="Roboto")
Plots.plot!(fig,[20;50],[-4;-7],linewidth=2,c=:white,lab="",arrow=Plots.Arrow(:close, :tail, 0.5, 1))
Plots.annotate!(50, -7.5, ("刀片3", 10, :white, :center),annotationfontfamily="Roboto")
Plots.plot!(fig,[70;120],[-4;-5.5],linewidth=2,c=:white,lab="",arrow=Plots.Arrow(:close, :tail, 0.5, 1))
Plots.annotate!(120, -6, ("刀片4", 10, :white, :center),annotationfontfamily="Roboto")
Plots.plot!(fig,[0;250],[0;-0.1],linewidth=3,c=:white,lab="",arrow=Plots.Arrow(:close, :both, 0.5, 1))
Plots.annotate!(120, -1, ("期间", 10, :white, :center),annotationfontfamily="Roboto")
Plots.plot!(fig,[124;125],[0.2;4],linewidth=3,c=:white,lab="",arrow=Plots.Arrow(:close, :both, 0.5, 1))
Plots.annotate!(137, 2, ("旋转速度", 10, :white, :left),annotationfontfamily="Roboto")
end
function plotting_svd(x)
Plots.plot(10*log10.(x),lab="",ylabel="奇异值",xlabel="职级")
Plots.plot!([55], seriestype="vline", label="",ls=:dashdot,color="red",lw=2)
Plots.plot!([101], seriestype="vline", label="",ls=:dashdot,color="red",lw=2)
Plots.plot!([109], seriestype="vline", label="",ls=:dashdot,color="red",lw=2)
Plots.annotate!(25, -10, ("A", 10, :black, :left),annotationfontfamily="Roboto")
Plots.annotate!(75, -10, ("B", 10, :black, :left),annotationfontfamily="Roboto")
Plots.annotate!(102, -10, ("C", 10, :black, :left),annotationfontfamily="Roboto")
Plots.annotate!(175, -10, ("D", 10, :black, :left),annotationfontfamily="Roboto")
end
1. Microdopler效应的概念
微运动的概念与微飞行器效应密不可分*:
微运动是物体的一个组成部分的轻微运动或偏差,这是整个物体的主要体积运动之外的额外运动[1]。 微运动的来源可以是振动表面,直升机的旋转转子叶片,行走的人用他的手臂和腿进行周期性运动,鸟的拍打翅膀或其他原因。
微飞行器效应是一种与反射信号的光谱组成富集相关的现象,这种现象在雷达研究期间由于物体的微运动而发生。
让我们考虑一个物体运动的两个场景:一个简单的平移运动(上图)和一个复杂的平移-旋转运动(下图)。
在情况1中,物体均匀地向我们移动,因此多普勒频率具有恒定值,与时间无关。
在第二种情况下,情况发生变化:旋转运动(例如,直升机叶片的旋转)将周期性变化的分量引入反射信号的光谱中,其表征微飞行器效应。
在频谱中包含微偏振分量的反射信号的频谱图被称为微偏振分量(或缩写为MDS)。 下面给出了一个鸟的MDS的例子:
.png)
2. 行人MDS模拟
在下一节中,我们将考虑基于LFM的连续信号创建汽车雷达,以识别道路上的交叉路口。
2.1模型场景的描述
该模型考虑以下情况:
*一辆装有雷达的汽车正以每小时30公里的速度从起点驶向一辆停泊的汽车和一名行人;
*停放的汽车位于39.4米的距离
*行人以1米/秒的速度移动
下面给出了场景的可视化:
(2).png)
2.2模型参数
需要较高的范围和速度分辨率来识别过渡。 在汽车雷达中,使用连续线性频率调制(FM)信号来满足特性。
bw = 250e6 # 信号频段,Hz
fs = bw # 采样率,Hz
fc = 24e9 # 载波频率,Hz
tm = 1e-6 # 扫描时间,s
c = 3e8 # 光速,m/s
egocar_pos = [0;0;0] # m、带雷达的汽车的位置矢量
egocar_vel = [30*1600/3600;0;0] # m/s,带雷达的汽车的速度矢量
parkedcar_pos = [39;-4;0] # m、前车位置的矢量
parkedcar_vel = [0;0;0] # m/s,前车的速度矢量
ped_pos = [40;-3;0] # m、行人位置向量
ped_vel = [0;1;0] # m,行人速度矢量
ped_heading = 90 # 冰雹,行人的初始运动方向
ped_height = 1.8; # 行人高度
2.3系统对象的形成
要形式化行人对象的反射信号,请使用系统对象 EngeeRadars.BackscatterPedestrian
wav_fmcw = EngeePhased.FMCWWaveform(
SampleRate=fs, # 采样率
SweepTime=tm, # 扫描时间
SweepBandwidth=bw # 信号波段
)
# 从带有雷达的汽车
egocar = EngeePhased.Platform(
InitialPosition=egocar_pos, # 起始位置
Velocity=egocar_vel, # 速度矢量
OrientationAxesOutputPort=true # 启用空间方向输出端口
)
# 车前物体的形成
parkedcar = EngeePhased.Platform(
InitialPosition=parkedcar_pos, # 起始位置
Velocity=parkedcar_vel, # 速度
OrientationAxesOutputPort=true # 启用空间方向输出端口
)
parkedcar_tgt = EngeePhased.RadarTarget(PropagationSpeed=c,OperatingFrequency=fc,MeanRCS=10)
# 行人物体形成
ped = EngeeRadars.BackscatterPedestrian(
InitPosition=ped_pos, # 起始位置
InitHeading=ped_heading, # 的初始运动方向
PropagationSpeed=c, # 信号传播速度
OperatingFrequency=fc, # 载波频率
Height=ped_height, # 身高
WalkingSpeed=1 # 移动的速度
)
# 分销渠道:至行人及最近的汽车
chan_ped = EngeePhased.FreeSpace(
PropagationSpeed=c, # 传播的速度
OperatingFrequency=fc, # 载波频率
TwoWayPropagation=true, # 考虑双向传播
SampleRate=fs # 采样率
)
chan_pcar = EngeePhased.FreeSpace(
PropagationSpeed=c, # 传播的速度
OperatingFrequency=fc, # 载波频率
TwoWayPropagation=true, # 考虑双向传播
SampleRate=fs # 采样率
)
# 接收器和发射器
tx = EngeePhased.Transmitter(PeakPower=1,Gain=25)
rx = EngeePhased.ReceiverPreamp(Gain=25,NoiseFigure=10);
2.4模型的仿真
对于行人的MDS的正确显示,有必要在人体运动的至少一个周期期间累积反射信号。 行人的速度为1m/s,因此需要2秒才能完成循环。 让我们以1毫秒为增量模拟2.5秒的行人移动场景。:
Tsim = 2.5 # 模拟时间
Tsamp = 0.001 # 仿真计算步骤,用
npulse = round(Int64,Tsim/Tsamp) # 脉冲数
# 下的内存分配:
xr = complex(zeros(round(Int64,fs*tm),npulse)) # 总反射信号
xr_ped = complex(zeros(round(Int64,fs*tm),npulse)) # 行人反射信号
@inbounds for m = 1:npulse
# 计算当前位置、速度、方向和视角
# 给一个行人和一辆停着的汽车
pos_ego,vel_ego,ax_ego = egocar(Tsamp)
pos_pcar,vel_pcar,ax_pcar = parkedcar(Tsamp)
pos_ped,vel_ped,ax_ped = move(ped,Tsamp,ped_heading)
_,angrt_ped = rangeangle(pos_ego,pos_ped,ax_ped)
_,angrt_pcar = rangeangle(pos_ego,pos_pcar,ax_pcar)
# 反射信号的计算
global x = tx(wav_fmcw()) # 探测信号
# 正向和反向传播信道中信号的传输
xt_ped = chan_ped(repeat(x,1,size(pos_ped,2)),pos_ego,pos_ped,vel_ego,vel_ped)
xt_pcar = chan_pcar(x,pos_ego,pos_pcar,vel_ego,vel_pcar)
xt_ped = reflect(ped,xt_ped,angrt_ped) # 来自过渡的反射信号
xt_pcar = parkedcar_tgt(xt_pcar) # 来自汽车的反射信号
xr_ped[:,m] = rx(xt_ped) # 从行人接收信号
xr[:,m] = rx(xt_ped+xt_pcar) # 从行人接收信号
end
# 将信号转移到零频率
xd_ped = conj(dechirp(xr_ped,x))
xd = conj(dechirp(xr,x));
2.5接收信号的处理
在模拟的信号 xd_ped 它只包含行人的反应,以及 xd 它包含行人和停放汽车的响应。 如果我们只使用来自行人的反射信号创建频谱图,我们得到以下MDS:
spectrogramm_ped(xd_ped,Tsamp;down_lim = -35)
title!("行人反射信号的频谱图")
来自行人和汽车的全反射信号的频谱图如下所示:
spectrogramm_ped(xd,Tsamp;down_lim = -35)
title!("行人和汽车反射信号的频谱图")
可以注意到,车辆的MDS主导行人的MDS。 因此,不进行另外的处理就不能检测行人。
2.6SVD分解处理
要基于较强的信号检测较弱的信号,可以使用奇异值分解来识别感兴趣区域。
out_svd = svd(xd,full=true) # 分解分量的计算
uxd,sxd,vxd = out_svd.U,out_svd.S,out_svd.V; # 读取S,U,V矩阵
使用函数 plotting_svd 让我们显示主对角奇异矩阵 S:
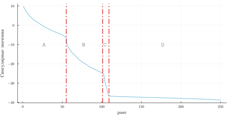
plotting_svd(sxd)
在信号值对矩阵秩的依赖性的图上,可以有条件地区分4个区域:
*A-包括对频谱图有重大贡献的主信号;
*B-行人和汽车信号的组合,与第二的主导地位
*C-行人和汽车信号的组合,前者占主导地位;
*D是接收设备的噪声贡献。
因此,为了有效地隔离行人的MDS,有必要从整个频谱图中提取位于秩103-110的范围内的区域C:
rk = 103:110 # 符号值矩阵的行列范围
# 处理后的频谱图的计算
sxd_new = [sxd;zeros(size(vxd,1)-length(sxd))]
xdr = uxd[:,rk]*Diagonal(sxd_new)[rk,:]*vxd';
我们将在额外处理后再次构建行人和汽车MDS(为了正确显示,我们将降低下限至-40dB,因为主电源已被移除):
spectrogramm_ped(xdr,Tsamp;down_lim = -40)
title!("SVD改造后行人和汽车的MDS")
对来自汽车的信号进行滤波后,形成了行人的mds的清晰画面,而汽车的mds的水平显着下降。
因此,在附加处理(svd分解)的帮助下,可以在来自附近汽车的干扰信号的背景下隔离行人的频谱分量。
3. 直升机MDS模拟
3.1模型场景描述
考虑案例:
*直升机沿x轴以100m/s的速度在x-z平面内均匀地以[-25,500,500]米的距离飞行。
*雷达是静止的,位于原点。
在这种情况下,在运动开始时,直升机接近雷达,移动到x轴的正区域后,它将开始移开。 下面给出了这种情况的可视化。:
.png)
3.2模型参数
让我们设置雷达和目标(直升机)运动场景的参数:
radarpos = [0;0;0] # 雷达位置矢量,m
radarvel = [0;0;0] # 雷达速度矢量,m/s
tgtinitpos = [-25;500;500] # 目标的初始位置,m
tgtvel = [100;0;0]; # 目标速度,m/s
接下来,我们将形成直升机的几何形状,指定其主要参数(叶片数量,叶片长度,螺旋桨的旋转速度):
f_rot = 4 # 螺杆转速,c
Nblades = 4 # 叶片数量
bladeang = Matrix((0:Nblades-1)')*2*pi/Nblades # вектор углов лопастей
bladelen = 6.5 # 叶片长度,m
bladerate = deg2rad(360*f_rot); # 螺杆的转速为rad/s
下一阶段是雷达站的形成。 让我们设置系统的基本参数:
c = 3e8 # 信号传播速度,m/s
fc = 5e9 # 载波频率,Hz
fs = 1e6 # 采样率,Hz
prf = 2e4 # 脉冲重复率,Hz
lambda = c/fc; # 波长,m
3.3创建系统对象
现在,使用目标场景和雷达系统的参数,我们将使用库创建系统模型对象 EngeePhased:
# 目标形成
helicop = EngeePhased.RadarTarget(
MeanRCS=[10 .1 .1 .1 .1], # 直升机元件的EPR(机身和4叶片)
PropagationSpeed=c, # 传播的速度
OperatingFrequency=fc # 信号的载波频率
)
tgtmotion = EngeePhased.Platform(InitialPosition=tgtinitpos,Velocity=tgtvel)
# 探测信号发生器
wav = EngeePhased.RectangularWaveform(
SampleRate=fs, # 采样率
PulseWidth=2/fs, # 脉冲持续时间
PRF=prf # 脉冲重复率
)
# 天线阵列形成(矩形4x4)
ura = EngeePhased.URA(
Size=[4 4], # 天线阵列尺寸
ElementSpacing=[lambda/2 lambda/2] # 元素之间的距离
)
tx = EngeePhased.Transmitter() # 发射器
rx = EngeePhased.ReceiverPreamp() # 前置放大器
# 分布环境
env = EngeePhased.FreeSpace(
PropagationSpeed=c, # 传播速度,m/s
OperatingFrequency=fc, # 载波频率,Hz
TwoWayPropagation=true, # 考虑双向传播
SampleRate=fs # 采样率
)
# 传输AR
txant = EngeePhased.Radiator(
Sensor=ura, # AR几何
PropagationSpeed=c, # 传播速度,m/s
OperatingFrequency=fc # 载波频率,Hz
)
# 接收AR
rxant = EngeePhased.Collector(
Sensor=ura, # AR几何
PropagationSpeed=c, # 传播速度,m/s
OperatingFrequency=fc # 载波频率,Hz
);
3.4运行模型的模拟
我们通过循环调用系统对象来实现直升机运动时雷达运行场景的计算。:
NSampPerPulse = round(Int64,fs/prf) # 1个脉冲中的样本数
Niter = Int64(1e4) # 迭代次数(发射脉冲数)
y = complex(zeros(NSampPerPulse,Niter)) # 反射信号的内存分配
@inbounds for m in 1:Niter
# 直升机位置和速度更新
t = (m-1)/(prf) # 时间模拟步骤
global scatterpos,scattervel,scatterang = helicopmotion(t,tgtmotion,bladeang,bladelen,bladerate,prf,radarpos)
# 反射信号的计算
x = txant(tx(wav()),scatterang) # 探测信号
xt = env(x,radarpos,scatterpos,radarvel,scattervel) # 星期三的信号
xt = helicop(xt) # 直升机反射信号
global xr = rx(rxant(xt,scatterang)) # 接收信号
y[:,m] = sum(xr;dims=2) # 光束形成
end
3.5信号处理
使用系统对象 RangeDopplerResponse 我们实现范围-多普勒处理:一致范围滤波和基于速度FFT的频谱处理。
rdresp = EngeePhased.RangeDopplerResponse(
PropagationSpeed=c, # 信号传播速度
SampleRate=fs, # 采样率
DopplerFFTLengthSource="Property", # 设置FFT的方法(在CO参数中)
DopplerFFTLength=128, # FFT长度
DopplerOutput="Speed", # 多普勒输出(速度)
OperatingFrequency=fc # 载波频率
)
mfcoeff = getMatchedFilter(wav)
fig1 = plotResponse(rdresp,y[:,1:128],mfcoeff)
setting_plotlyjs(fig1);
可以注意到,范围-多普勒肖像捕获了3组件的存在:中心组件是直升机的机身,横向组件是叶片的旋转。
我们来估计直升机的径向速度:
tgtpos = scatterpos[:,1] # 直升机在模拟结束时的位置
tgtvel = scattervel[:,1] # 仿真结束时的直升机速度
tgtvel_truth = radialspeed(tgtpos,tgtvel,radarpos,radarvel)
println("直升机机身径向速度△(round(tgtvel_truth;sigdigits=3))m/s")
我们还将研究螺钉径向速度的最大值和最小值。:
maxbladetipvel = [bladelen*bladerate;0;0] # 螺旋桨叶片的速度
vtp = radialspeed(tgtpos,-maxbladetipvel+tgtvel,radarpos,radarvel)
vtn = radialspeed(tgtpos,maxbladetipvel+tgtvel,radarpos,radarvel)
println("最大径向速度值△(round(vtp;sigdigits=3))m/s")
println("最小径向速度值△(round(vtn;sigdigits=3))m/s")
让我们进行一致滤波并构建反射信号的频谱图。:
# 一致的过滤
mf = EngeePhased.MatchedFilter(Coefficients=mfcoeff) # 一致的过滤器
ymf = mf(y) # 处理过程
ridx = findmax(sum(abs.(ymf);dims=2)[:])[2]; # 范围峰值检测
# 建立MDS
T = Niter/prf # 频谱图的持续时间
fig1 = calc_spectrogram_quad(ymf[ridx,:],1/prf,T;limit=-100)
中心分量表征来自直升机机身的反射信号,周期分量是叶片的旋转。 我们使用函数可视化MDS的组件 helperAnnotateSpectrogram:
helperAnnotateSpectrogram(fig1)
振荡周期大约为250毫秒,可以从频谱图中估计出来. 在这种情况下,估计的叶片数为:
Tp = 250e-3 # MDS时期
bladerate_est = 1/Tp # 估计叶片数量
println("叶片数量的估计$(round(bladerate_est;sigdigits=2))")
多普勒频率的最大偏差约为4kHz,则直升机叶片的径向速度估计为:
f_doppler = 4e3 # 多普勒频率的振幅,Hz
Vt_detect = dop2speed(f_doppler,lambda)/2
println("叶片径向速度△(Vt_detect)m/s")
要估计真实速度,就必须根据位置的角度来确定和解决球化问题。 让我们使用在系统对象中实现的"音乐"算法。 MUSICEstimator2D:
doa = EngeePhased.MUSICEstimator2D(
SensorArray=ura, #
OperatingFrequency=fc, # 载波频率
PropagationSpeed=c, # 信号传播速度
DOAOutputPort=true, # 开启角度方向输出
ElevationScanAngles=-90:90 # 按位置角度扫描范围
)
_,ang_est = doa(xr) # 视角的计算
Vt_est = Vt_detect/cosd(ang_est[2]) # 估计叶片的速度
println("叶片速度估计△(round(Vt_est;sigdigits=3))m/s")
知道叶片的速度和数量的估计值,我们将确定叶片的大致长度。:
bladelen_est = Vt_est/(bladerate_est*2*pi)
println("叶片长度估计△(round(bladelen_est;sigdigits=3))m")
真实长度值为6.5m,因此误差为4%。
结论
在示例中,考虑了"微飞行器效应"和微飞行器签名的概念。 使用EngeePhased系统对象,MDS反射信号为2雷达场景建模:存在空中目标的地面雷达-直升机和存在行人和附近汽车的汽车雷达。
.png)
.png)
.png)
.png)
.png)
.png)