Сравнение в моделях
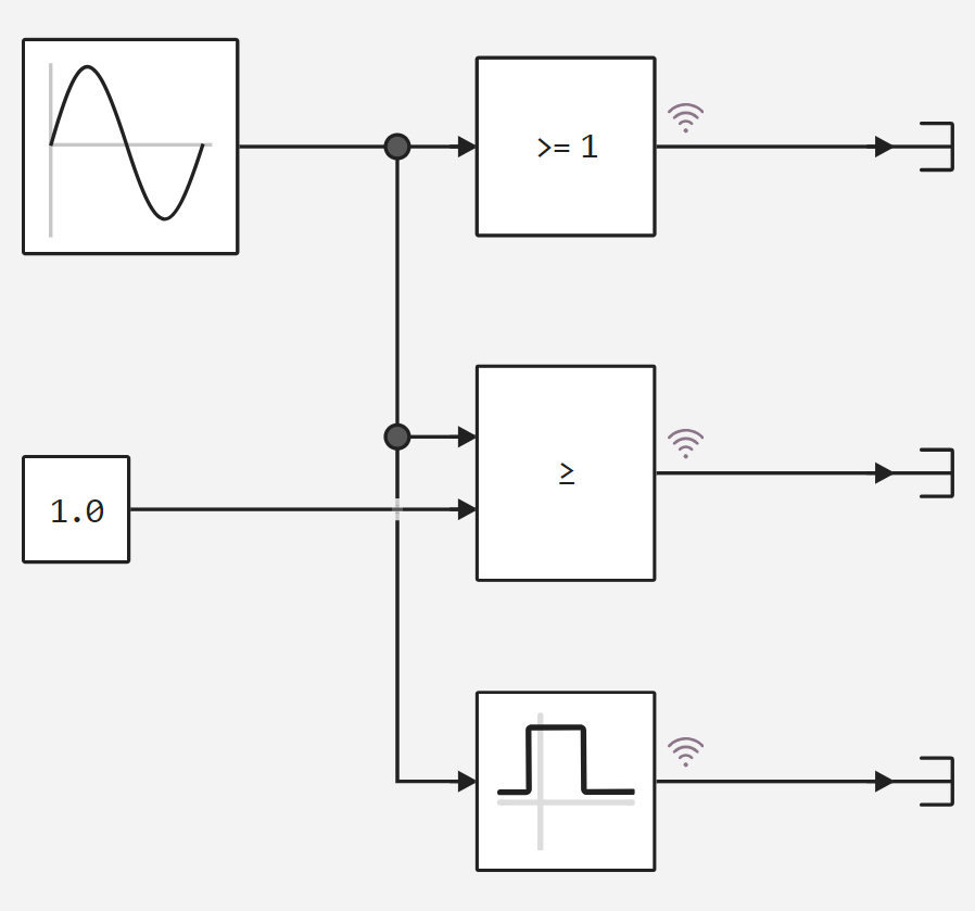
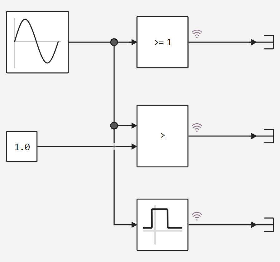
Данный пример показывает возможности анализа уровня сигнала при помощи трёх различных блоков. На рисунке ниже показана сама модель.

Как мы видим из модели, для реализации проверки условия х>=1 в Engee мы можем использовать несколько блоков:
- Compare To Constant - сравнивает с константой
- Relational Operator - сравнивает два входных порта между собой.
- Interval Test - проверяет входит ли сигнал в допустимый интервал в нашем случае этот интервал задаётся от 1 до 10.
Как мы видим по результатам выполнения модели все блоки отработали идентично.

Вывод
Как мы видим по результатам этой демонстрации одни и те же действия мы можем выполнить различными способами, что демонстрирует гибкость и разнообразие подходов к моделированию ваших систем.