比较应包括的子系统
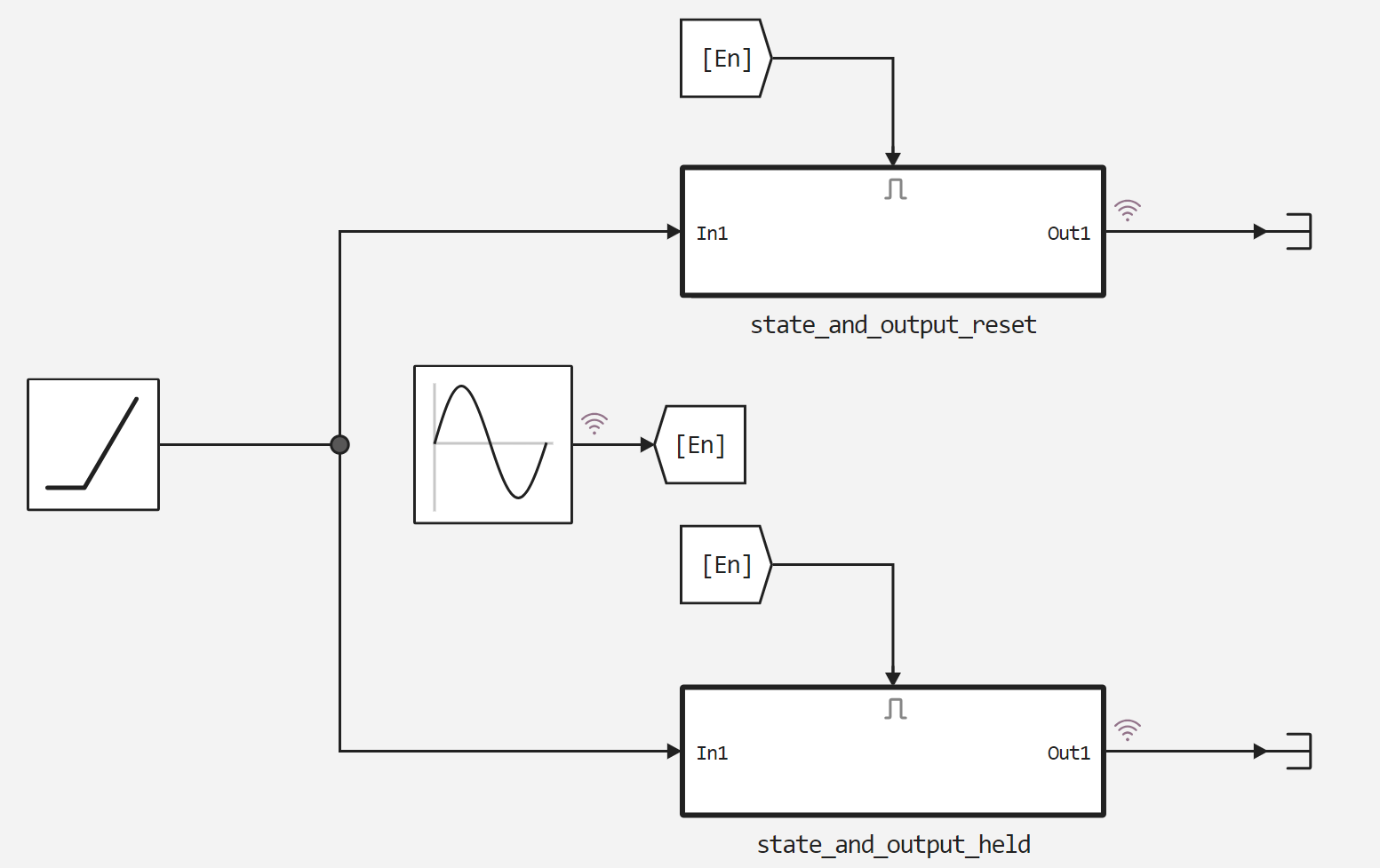
本例显示了两个完全相同的子系统,但接收到的控制信号的设置有所不同,在第一种情况下,信号会启动模型,而在第二种情况下,信号会重置模型的执行。
下图显示了模型本身。

接下来,让我们连接辅助函数来运行模型。
In [ ]:
function run_model( name_model)
Path = (@__DIR__) * "/" * name_model * ".engee"
if name_model in [m.name for m in engee.get_all_models()] # Проверка условия загрузки модели в ядро
model = engee.open( name_model ) # Открыть модель
model_output = engee.run( model, verbose=true ); # Запустить модель
else
model = engee.load( Path, force=true ) # Загрузить модель
model_output = engee.run( model, verbose=true ); # Запустить модель
engee.close( name_model, force=true ); # Закрыть модель
end
sleep(5)
return model_output
end
Out[0]:
运行模型
In [ ]:
run_model("CompareEnabled") # Запуск модели.
Out[0]:
解压并显示模型记录的信号。
In [ ]:
held = simout["CompareEnabled/state_and_output_held.Out1"];
reset = simout["CompareEnabled/state_and_output_reset.Out1"];
Sine = simout["CompareEnabled/Sine Wave.1"];
held = collect(held);
reset = collect(reset);
Sine = collect(Sine);
plot(held.time, held.value)
plot!(reset.time, reset.value)
plot!(Sine.time, Sine.value)
Out[0]:
输出
从结果图中我们可以看到,带复位的系统在控制信号过渡到正区域时会进入积分器的初始状态,而不带复位的系统则从积分器内的最后一个计数值开始继续计数。