Предиктор Смита
В этом примере разрабатывается система управления объекта с большой задержкой во времени. Для управления объектами с задержкой часто используют предиктор Смита, который может предсказать, какой сигнал должен появиться на выходе объекта до того, как он там появится на самом деле [1].
Pkg.add(["ControlSystems", "ControlSystemsBase"])
using ControlSystemsBase, Plots
using ControlSystems # Библиотека для моделирования системы задержек
Объект управления задан уравнением: , где .
P0 = ss(-1, 1, 1, 0) # Объект управления без задержки
Изменяя величину задержки τ, можно посмотреть, как система будет вести себя при различных запаздываниях.
τ = 8 # Величина задержки
P = delay(τ) * P0 # Объект управления с задержкой
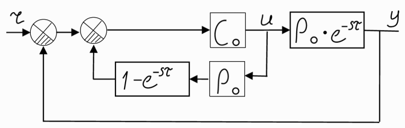
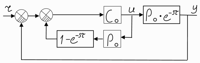
Структурная схема системы управления с предиктором Смита показана на рисунке ниже. Она содержит дополнительный внутренний контур обратной связи, в котором находится модель объекта управления . Дополнительный контур формирует сигнал, идентичный такому, который со временем появится на выходе системы и подает его на вход регулятора до тех пор, пока не появится сигнал от главной цепи обратной связи. [2]

В качестве регулятора используем ПИ-регулятор.
ω0 = 2
ζ = 0.7
C0, _ = placePI(P0, ω0, ζ) # ПИ-регулятор
Предиктор Смита :
C = feedback(C0, (1.0 - delay(τ))*P0) # Формирование внутренней обратной связи
Построим переходный процесс.

Передаточная функция по возмущающему воздействию f:
= feedback(P, C)
.
Передаточная функция замкнутой системы :
= feedback(P*C, 1)
G = [feedback(P*C, 1) feedback(P, C)] # Эталонный шаг при t = 0 и шаг возмущения нагрузки при t = 15
fig_timeresp = plot(lsim(G,(_,t) -> [1; t >= 15], 0:0.1:40), title="τ = $τ")
Построим логарифмическую амплитудно-фазовую частотную характеристику предиктора и сравним её с частотной характеристикой отрицательной задержки , которая была бы идеальным контроллером (как правило, такой контроллер не может быть реализован на практике).
C_pred = feedback(1, C0*(ss(1.0) - delay(τ))*P0)
fig_bode = bodeplot([C_pred, delay(-τ)], exp10.(-1:0.002:0.4), ls=[:solid :solid :dash :dash], title="", lab=["Предиктор Смита" "" "Идеальный контроллер" ""])
plot!(yticks=[0.1, 1, 10], sp=1)
plot!(yticks=0:180:1080, sp=2)
Построим годограф Найквиста.
fig_nyquist = nyquistplot(C * P, exp10.(-1:1e-4:2), title="τ = $τ")
Вы можете повторить скрипт, меняя значение задержки τ
в строке 4. Обратите внимание, что годограф описывает -1 при τ > 2,99.
Вывод
В данном примере мы изучили методы проектирования систем управления объектами с задержкой по времени с использованием предиктора Смита. Также мы рассмотрели различные методы анализа таких систем и их визуализацию.