模拟microdopler效应
该示例介绍了微飞行器效应的概念,并演示了能够从反射信号中提取微飞行器的雷达系统的构建。 这个特性可以在以后用来解决目标分类的问题。
连接库和函数
let
installed_packages = collect(x.name for (_, x) in Pkg.dependencies() if x.is_direct_dep)
list_packages = ["DSP","FFTW","LinearAlgebra"]
for pack in list_packages
pack in installed_packages || Pkg.add(pack)
end
end
using DSP,FFTW,LinearAlgebra
gr()
default(titlefontsize=12,top_margin=5Plots.px,guidefont=10,
fontfamily = "Computer Modern",colorbar_titlefontsize=8,size=(800,400),
margin = 2Plots.mm
)
function helicopmotion(t,tgtmotion,BladeAng,ArmLength,BladeRate,prf = 2e4, radarpos = [0;0;0])
Nblades = size(BladeAng,2)
tgtpos,tgtvel = tgtmotion(1/prf)
RotAng = BladeRate*t;
scatterpos = [0 ArmLength*cos.(RotAng .+ BladeAng);0 ArmLength*sin.(RotAng .+ BladeAng);zeros(1,Nblades+1)].+tgtpos
scattervel = [0 -BladeRate*ArmLength*sin.(RotAng .+ BladeAng);0 BladeRate*ArmLength*cos.(RotAng .+ BladeAng);zeros(1,Nblades+1)] .+tgtvel
_,scatterang = rangeangle(scatterpos,radarpos)
return scatterpos,scattervel,scatterang
end
function spectrogramm_ped(x,t_step;down_lim = -35)
out,f,t = EngeePhased.Functions.spectrogram(sum(x;dims=1)[:];
window = DSP.kaiser(128,10),
noverlap=120,
nfft=256,fs=1/t_step,
centered=true,freqloc = "yaxis",out = :data
)
out_sig = map(x -> x < down_lim ? down_lim : x,DSP.pow2db.(abs.(out)))
fig = Plots.heatmap(
t[:],f,out_sig,color= :jet,
gridalpha=0.5,
colorbar_title = "Мощность, дБВт",
xticks=0:0.5:3,
yticks=-500:100:500,
)
Plots.xlabel!("Время, с")
Plots.ylabel!("Частота Доплера, Гц")
return fig
end
function calc_spectrogram_quad(Data,ts,T;limit = -150)
x = Data./maximum(abs.(Data))
dT = T/length(x)
F = 1/dT
spec_quad = DSP.spectrogram(x,128,120;window=DSP.kaiser(128,3.95),nfft=512,fs=F)
power_quad = map(x -> x < limit ? limit : x,pow2db.(spec_quad.power))
power_quad_quad_new = zeros(size(power_quad))
power_quad_quad_new[1:round(Int64,size(power_quad,1)/2),:] .= power_quad[round(Int64,size(power_quad,1)/2)+1:end,:]
power_quad_quad_new[round(Int64,size(power_quad,1)/2)+1:end,:] .= power_quad[1:round(Int64,size(power_quad,1)/2),:]
fig = Plots.heatmap(spec_quad.time*1e3, fftshift(spec_quad.freq)*1e-3, power_quad_quad_new,color= :jet,
gridalpha=0.5,ylims=(-10,10),xlims=(0,500),colorbar_title = "Мощность, дБВт",
xticks=0:50:500,yticks=-10:2:10)
Plots.xlabel!("Время, мс")
Plots.ylabel!("Частота Доплера, кГц")
Plots.title!("Спектрограмма отраженного сигнала от вертолета")
return fig
end
function helperAnnotateSpectrogram(fig)
Plots.plot!(fig,[20;50],[4;7],linewidth=2,c=:white,lab="",arrow=Plots.Arrow(:close, :tail, 0.5, 1))
Plots.annotate!(50, 7.5, ("Лопасть 1", 10, :white, :center),annotationfontfamily="Roboto")
Plots.plot!(fig,[70;120],[4;5.5],linewidth=2,c=:white,lab="",arrow=Plots.Arrow(:close, :tail, 0.5, 1))
Plots.annotate!(120, 6, ("Лопасть 2", 10, :white, :center),annotationfontfamily="Roboto")
Plots.plot!(fig,[20;50],[-4;-7],linewidth=2,c=:white,lab="",arrow=Plots.Arrow(:close, :tail, 0.5, 1))
Plots.annotate!(50, -7.5, ("Лопасть 3", 10, :white, :center),annotationfontfamily="Roboto")
Plots.plot!(fig,[70;120],[-4;-5.5],linewidth=2,c=:white,lab="",arrow=Plots.Arrow(:close, :tail, 0.5, 1))
Plots.annotate!(120, -6, ("Лопасть 4", 10, :white, :center),annotationfontfamily="Roboto")
Plots.plot!(fig,[0;250],[0;-0.1],linewidth=3,c=:white,lab="",arrow=Plots.Arrow(:close, :both, 0.5, 1))
Plots.annotate!(120, -1, ("Период", 10, :white, :center),annotationfontfamily="Roboto")
Plots.plot!(fig,[124;125],[0.2;4],linewidth=3,c=:white,lab="",arrow=Plots.Arrow(:close, :both, 0.5, 1))
Plots.annotate!(137, 2, ("Скорость вращения", 10, :white, :left),annotationfontfamily="Roboto")
end
function plotting_svd(x)
Plots.plot(10*log10.(x),lab="",ylabel="Сингулярные значения",xlabel="ранг")
Plots.plot!([55], seriestype="vline", label="",ls=:dashdot,color="red",lw=2)
Plots.plot!([101], seriestype="vline", label="",ls=:dashdot,color="red",lw=2)
Plots.plot!([109], seriestype="vline", label="",ls=:dashdot,color="red",lw=2)
Plots.annotate!(25, -10, ("A", 10, :black, :left),annotationfontfamily="Roboto")
Plots.annotate!(75, -10, ("B", 10, :black, :left),annotationfontfamily="Roboto")
Plots.annotate!(102, -10, ("C", 10, :black, :left),annotationfontfamily="Roboto")
Plots.annotate!(175, -10, ("D", 10, :black, :left),annotationfontfamily="Roboto")
end
1. Microdopler效应的概念
微运动的概念与微飞行器效应密不可分*:
微运动是物体的一个组成部分的轻微运动或偏差,这是整个物体的主要体积运动之外的额外运动[1]。 微运动的来源可以是振动表面,直升机的旋转转子叶片,行走的人用他的手臂和腿进行周期性运动,鸟的拍打翅膀或其他原因。
微飞行器效应是一种与反射信号的光谱组成富集相关的现象,这种现象在雷达研究期间由于物体的微运动而发生。
让我们考虑一个物体运动的两个场景:一个简单的平移运动(上图)和一个复杂的平移-旋转运动(下图)。
在情况1中,物体均匀地向我们移动,因此多普勒频率具有恒定值,与时间无关。
在第二种情况下,情况发生变化:旋转运动(例如,直升机叶片的旋转)将周期性变化的分量引入反射信号的光谱中,其表征微飞行器效应。
在频谱中包含微偏振分量的反射信号的频谱图被称为微偏振分量(或缩写为MDS)。 下面给出了一个鸟的MDS的例子:

2. 行人MDS模拟
在下一节中,我们将考虑基于LFM的连续信号创建汽车雷达,以识别道路上的交叉路口。
2.1模型场景的描述
该模型考虑以下情况:
*一辆装有雷达的汽车正以每小时30公里的速度从起点驶向一辆停泊的汽车和一名行人;
*停放的汽车位于39.4米的距离
*行人以1米/秒的速度移动
下面给出了场景的可视化:
.png)
2.2模型参数
需要较高的范围和速度分辨率来识别过渡。 在汽车雷达中,使用连续线性频率调制(FM)信号来满足特性。
bw = 250e6 # полоса сигнала, Гц
fs = bw # частота дискретизации, Гц
fc = 24e9 # несущая частота, Гц
tm = 1e-6 # время развертки, с
c = 3e8 # скорость света, м/с
egocar_pos = [0;0;0] # м, вектор положения автомобиля с радаром
egocar_vel = [30*1600/3600;0;0] # м/с, вектор скорости автомобиля с радаром
parkedcar_pos = [39;-4;0] # м, вектор положения впереди стоящего автомобиля
parkedcar_vel = [0;0;0] # м/с, вектор скорости впереди стоящего автомобиля
ped_pos = [40;-3;0] # м, вектор положения пешехода
ped_vel = [0;1;0] # м, вектор скорости пешехода
ped_heading = 90 # град, начальное направление движения пешехода
ped_height = 1.8; # рост пешехода
2.3系统对象的形成
若要形式化行人对象的反射信号,请使用系统对象 EngeeRadars.BackscatterPedestrian
wav_fmcw = EngeePhased.FMCWWaveform(
SampleRate=fs, # частота дискретизации
SweepTime=tm, # время развертки
SweepBandwidth=bw # полоса сигнала
)
# СО автомобиля с радаром
egocar = EngeePhased.Platform(
InitialPosition=egocar_pos, # начальное положение
Velocity=egocar_vel, # вектор скорости
OrientationAxesOutputPort=true # включение выходного порта ориентации в пространстве
)
# Формирование объекта впереди стоящего автомобиля
parkedcar = EngeePhased.Platform(
InitialPosition=parkedcar_pos, # начальное положение
Velocity=parkedcar_vel, # скорость
OrientationAxesOutputPort=true # включение выходного порта ориентации в пространстве
)
parkedcar_tgt = EngeePhased.RadarTarget(PropagationSpeed=c,OperatingFrequency=fc,MeanRCS=10)
# Формирование объекта - пешеход
ped = EngeeRadars.BackscatterPedestrian(
InitPosition=ped_pos, # начальное положение
InitHeading=ped_heading, # начальное направление движения
PropagationSpeed=c, # скорость распространения сигнала
OperatingFrequency=fc, # несущая частота
Height=ped_height, # рост
WalkingSpeed=1 # скорость движения
)
# каналы распространения: до пешехода и ближайшего автомобиля
chan_ped = EngeePhased.FreeSpace(
PropagationSpeed=c, # скорость распространения
OperatingFrequency=fc, # несущая частота
TwoWayPropagation=true, # учет двунаправленного распространения
SampleRate=fs # частота дискретизации
)
chan_pcar = EngeePhased.FreeSpace(
PropagationSpeed=c, # скорость распространения
OperatingFrequency=fc, # несущая частота
TwoWayPropagation=true, # учет двунаправленного распространения
SampleRate=fs # частота дискретизации
)
# приемник и передатчик
tx = EngeePhased.Transmitter(PeakPower=1,Gain=25)
rx = EngeePhased.ReceiverPreamp(Gain=25,NoiseFigure=10);
2.4模型的仿真
对于行人的MDS的正确显示,有必要在人体运动的至少一个周期期间累积反射信号。 行人的速度为1米/秒,因此需要2秒才能完成循环。 让我们以1毫秒为增量模拟2.5秒的行人移动场景。:
Tsim = 2.5 # время симуляции
Tsamp = 0.001 # шаг расчета симуляции, с
npulse = round(Int64,Tsim/Tsamp) # количество импульсов
# Выделение памяти под:
xr = complex(zeros(round(Int64,fs*tm),npulse)) # суммарный отраженный сигнал
xr_ped = complex(zeros(round(Int64,fs*tm),npulse)) # отраженный сигнал от пешехода
@inbounds for m = 1:npulse
# расчет текущего положения, скорости, ориентации и угла визирования
# до пешехода и припаркованного автомобиля
pos_ego,vel_ego,ax_ego = egocar(Tsamp)
pos_pcar,vel_pcar,ax_pcar = parkedcar(Tsamp)
pos_ped,vel_ped,ax_ped = move(ped,Tsamp,ped_heading)
_,angrt_ped = rangeangle(pos_ego,pos_ped,ax_ped)
_,angrt_pcar = rangeangle(pos_ego,pos_pcar,ax_pcar)
# расчет отраженного сигнала
global x = tx(wav_fmcw()) # зондирующий сигнал
# прохождение сигналов в канале прямого и обратного распространения
xt_ped = chan_ped(repeat(x,1,size(pos_ped,2)),pos_ego,pos_ped,vel_ego,vel_ped)
xt_pcar = chan_pcar(x,pos_ego,pos_pcar,vel_ego,vel_pcar)
xt_ped = reflect(ped,xt_ped,angrt_ped) # отраженный сигнал от перехода
xt_pcar = parkedcar_tgt(xt_pcar) # отраженный сигнал от автомобиля
xr_ped[:,m] = rx(xt_ped) # принятый сигнал от пешехода
xr[:,m] = rx(xt_ped+xt_pcar) # принятый сигнал от пешехода
end
# перенос сигнала на нулевую частоту
xd_ped = conj(dechirp(xr_ped,x))
xd = conj(dechirp(xr,x));
2.5接收信号的处理
在模拟的信号 xd_ped 它只包含行人的反应,以及 xd 它包含行人和停放汽车的响应。 如果我们只使用行人的反射信号创建频谱图,我们得到以下MDS:
spectrogramm_ped(xd_ped,Tsamp;down_lim = -35)
title!("Спектрограмма отраженного сигнала от пешехода")
来自行人和汽车的全反射信号的频谱图如下所示:
spectrogramm_ped(xd,Tsamp;down_lim = -35)
title!("Спектрограмма отраженного сигнала от пешехода и автомобиля")
可以注意到,车辆的MDS主导行人的MDS。 因此,在不进行额外处理的情况下不能检测行人。
2.6SVD分解处理
要基于较强的信号检测较弱的信号,可以使用奇异值分解来识别感兴趣区域。
out_svd = svd(xd,full=true) # расчет компонента разложения
uxd,sxd,vxd = out_svd.U,out_svd.S,out_svd.V; # считывание матриц S,U,V
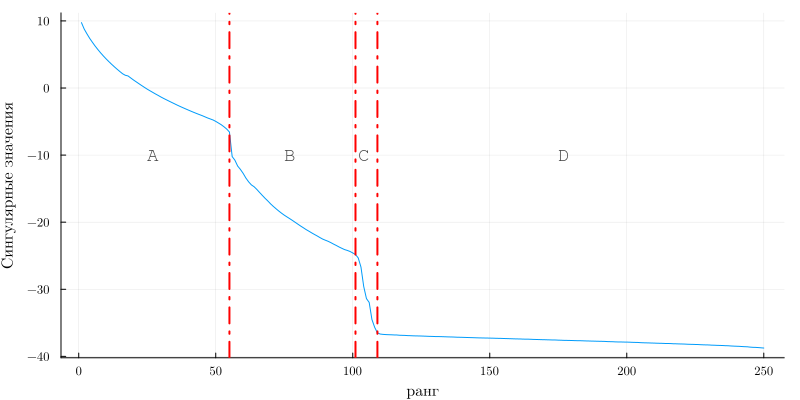
使用函数 plotting_svd 让我们显示主对角奇异矩阵 S:
plotting_svd(sxd)
在信号值对矩阵秩的依赖性的图上,可以有条件地区分4个区域:
*A-包括对频谱图有重大贡献的主信号;
*B-行人和汽车信号的组合,与第二的主导地位
*C-行人和汽车信号的组合,前者占主导地位;
*D是接收设备的噪声贡献。
因此,为了有效地隔离行人的MDS,有必要从整个频谱图中提取位于秩103-110的范围内的区域C:
rk = 103:110 # диапазон рангов матрицы сигнулярных значений
# расчет обработанной спектрограммы
sxd_new = [sxd;zeros(size(vxd,1)-length(sxd))]
xdr = uxd[:,rk]*Diagonal(sxd_new)[rk,:]*vxd';
我们将在额外处理后再次构建行人和汽车MDS(为了正确显示,我们将降低下限至-40dB,因为主电源已被移除):
spectrogramm_ped(xdr,Tsamp;down_lim = -40)
title!("МДС пешехода и автомобиля после svd преобразования")
对来自汽车的信号进行滤波后,形成了行人MDS的清晰画面,而汽车MDS的水平明显下降。
因此,在附加处理(svd分解)的帮助下,可以在来自附近汽车的干扰信号的背景下隔离行人的频谱分量。
3. 直升机MDS模拟
3.1模型场景描述
考虑案例:
*直升机沿x轴以100m/s的速度在x-z平面内均匀地以[-25,500,500]米的距离飞行。
*雷达是静止的,位于原点。
在这种情况下,在运动开始时,直升机接近雷达,移动到x轴的正区域后,它将开始移开。 下面给出了这种情况的可视化。:

3.2模型参数
让我们设置雷达和目标(直升机)运动场景的参数:
radarpos = [0;0;0] # вектор положения РЛС, м
radarvel = [0;0;0] # вектор скорости РЛС, м/с
tgtinitpos = [-25;500;500] # начальное положение цели, м
tgtvel = [100;0;0]; # скорость цели, м/с
接下来,我们将形成直升机的几何形状,指定其主要参数(叶片数量,叶片长度,螺旋桨的旋转速度):
f_rot = 4 # частота вращения винта, c
Nblades = 4 # количество лопастей
bladeang = Matrix((0:Nblades-1)')*2*pi/Nblades # вектор углов лопастей
bladelen = 6.5 # длина лопасти, м
bladerate = deg2rad(360*f_rot); # скорость вращения винта рад/с
下一阶段是雷达站的形成。 让我们设置系统的基本参数:
c = 3e8 # скорость распространения сигнала, м/с
fc = 5e9 # несущая частота, Гц
fs = 1e6 # частота дискретизации, Гц
prf = 2e4 # частота следования импульсов, Гц
lambda = c/fc; # длина волны, м
3.3创建系统对象
现在,使用目标场景和雷达系统的参数,我们将使用库创建系统模型对象 EngeePhased:
# Формирование цели
helicop = EngeePhased.RadarTarget(
MeanRCS=[10 .1 .1 .1 .1], # ЭПР элементов вертолета (фюзеляжа и 4 лопастей)
PropagationSpeed=c, # скорость распространения
OperatingFrequency=fc # несущая частота сигнала
)
tgtmotion = EngeePhased.Platform(InitialPosition=tgtinitpos,Velocity=tgtvel)
# Генератор зондирующего сигнала
wav = EngeePhased.RectangularWaveform(
SampleRate=fs, # частота дискретизации
PulseWidth=2/fs, # длительность импульса
PRF=prf # частота следования импульсов
)
# Формирование антенной решетки (прямоугольная 4х4)
ura = EngeePhased.URA(
Size=[4 4], # размер антенной решетки
ElementSpacing=[lambda/2 lambda/2] # расстояние между элементами
)
tx = EngeePhased.Transmitter() # передатчик
rx = EngeePhased.ReceiverPreamp() # предусилитель
# Cреда распространения
env = EngeePhased.FreeSpace(
PropagationSpeed=c, # скорость распространения, м/с
OperatingFrequency=fc, # несущая частота, Гц
TwoWayPropagation=true, # учет двунаправленного распространения
SampleRate=fs # частота дискретизации
)
# Передающая АР
txant = EngeePhased.Radiator(
Sensor=ura, # геометрия АР
PropagationSpeed=c, # скорость распространения, м/с
OperatingFrequency=fc # несущая частота, Гц
)
# Принимающая АР
rxant = EngeePhased.Collector(
Sensor=ura, # геометрия АР
PropagationSpeed=c, # скорость распространения, м/с
OperatingFrequency=fc # несущая частота, Гц
);
3.4运行模型的模拟
我们通过循环调用系统对象来实现直升机运动时雷达运行场景的计算。:
NSampPerPulse = round(Int64,fs/prf) # количество отсчетов в 1 импульсе
Niter = Int64(1e4) # количество итераций (число излученных импульсов)
y = complex(zeros(NSampPerPulse,Niter)) # выделение памяти для отраженного сигнала
@inbounds for m in 1:Niter
# обновление положение и скорости вертолета
t = (m-1)/(prf) # шаг симуляции по времени
global scatterpos,scattervel,scatterang = helicopmotion(t,tgtmotion,bladeang,bladelen,bladerate,prf,radarpos)
# расчет отраженного сигнала
x = txant(tx(wav()),scatterang) # зондирующий сигнал
xt = env(x,radarpos,scatterpos,radarvel,scattervel) # сигнал, прошедший среду
xt = helicop(xt) # отраженный сигнал от вертолета
global xr = rx(rxant(xt,scatterang)) # принятый сигнал
y[:,m] = sum(xr;dims=2) # формирование луча
end
3.5信号处理
使用系统对象 RangeDopplerResponse 我们实施范围-多普勒处理:一致范围滤波和基于速度FFT的频谱处理。
rdresp = EngeePhased.RangeDopplerResponse(
PropagationSpeed=c, # скорость распространения сигнала
SampleRate=fs, # частота дискретизации
DopplerFFTLengthSource="Property", # Cпособ задания БПФ (в параметрах СО)
DopplerFFTLength=128, # длина БПФ
DopplerOutput="Speed", # Доплероский выход (скорость)
OperatingFrequency=fc # несущая частота
)
mfcoeff = getMatchedFilter(wav)
fig1 = plotResponse(rdresp,y[:,1:128],mfcoeff)
Plots.ylims!(0,3000)
Plots.plot!(fig1,title="Дальностно-доплероский портрет",xlabel="Скорость, м/с",
ylabel="Дальность, м",titlefontsize=12,top_margin=5Plots.px,guidefont=10,
colorbar_title="Мощность, дБВт",fontfamily = "Computer Modern",colorbar_titlefontsize=8)
可以注意到,范围-多普勒肖像捕获了3组件的存在:中心组件是直升机的机身,横向组件是叶片的旋转。
我们来估计直升机的径向速度:
tgtpos = scatterpos[:,1] # положение вертолета на момент окончания симуляции
tgtvel = scattervel[:,1] # скорость вертолета на момент окончания симуляции
tgtvel_truth = radialspeed(tgtpos,tgtvel,radarpos,radarvel)
println("радиальная скорость фюзеляжа вертолета $(round(tgtvel_truth;sigdigits=3)) м/с")
我们还将研究螺钉径向速度的最大值和最小值。:
maxbladetipvel = [bladelen*bladerate;0;0] # скорость лопастей винта
vtp = radialspeed(tgtpos,-maxbladetipvel+tgtvel,radarpos,radarvel)
vtn = radialspeed(tgtpos,maxbladetipvel+tgtvel,radarpos,radarvel)
println("максимальное значение радиальной скорости $(round(vtp;sigdigits=3)) м/с")
println("минимальное значение радиальной скорости $(round(vtn;sigdigits=3)) м/с")
让我们进行一致滤波并构建反射信号的频谱图。:
# Cогласованная фильтрация
mf = EngeePhased.MatchedFilter(Coefficients=mfcoeff) # согласованный фильтр
ymf = mf(y) # обработка
ridx = findmax(sum(abs.(ymf);dims=2)[:])[2]; # обнаружение пика по дальности
# Построение МДС
T = Niter/prf # длительность спектрограммы
fig1 = calc_spectrogram_quad(ymf[ridx,:],1/prf,T;limit=-100)
中心分量表征来自直升机机身的反射信号,周期分量是叶片的旋转。 我们使用函数可视化MDS的组件 helperAnnotateSpectrogram:
helperAnnotateSpectrogram(fig1)
振荡周期大约为250毫秒,可以从频谱图中估计出来. 在这种情况下,估计的叶片数为:
Tp = 250e-3 # период МДС
bladerate_est = 1/Tp # оценка количества лопастей
println("Оценка числа лопастей $(round(bladerate_est;sigdigits=2))")
多普勒频率的最大偏差约为4kHz,则直升机叶片的径向速度估计为:
f_doppler = 4e3 # амплитуда доплероской частоты, Гц
Vt_detect = dop2speed(f_doppler,lambda)/2
println("Радиальная скорость лопастей $(Vt_detect) м/с")
要估计真实速度,就必须根据位置的角度来确定和解决球化问题。 让我们使用在系统对象中实现的"音乐"算法。 MUSICEstimator2D:
doa = EngeePhased.MUSICEstimator2D(
SensorArray=ura, #
OperatingFrequency=fc, # несущая частота
PropagationSpeed=c, # скорость распространения сигнала
DOAOutputPort=true, # включение выхода углового направления
ElevationScanAngles=-90:90 # диапазон сканирования по углу места
)
_,ang_est = doa(xr) # расчет углов визирования
Vt_est = Vt_detect/cosd(ang_est[2]) # оценка скорости движения лопастей
println("Оценка скорости лопастей $(round(Vt_est;sigdigits=3)) м/с")
知道叶片的速度和数量的估计值,我们将确定叶片的大致长度。:
bladelen_est = Vt_est/(bladerate_est*2*pi)
println("Оценка длины лопасти $(round(bladelen_est;sigdigits=3)) м")
真实长度值为6.5m,因此误差为4%。
结论
在示例中,考虑了"微飞行器效应"和微飞行器签名的概念。 使用EngeePhased系统对象,MDS反射信号为2雷达场景建模:存在空中目标的地面雷达-直升机和存在行人和附近汽车的汽车雷达。
