Разземление нейтрали трансформатора
Описание модели
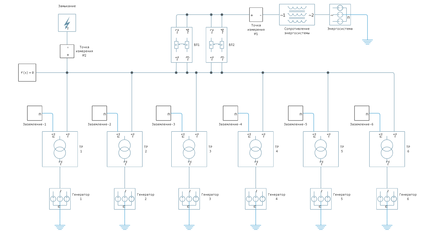
В этом примере рассматривается влияние разземления нейтралей трансформаторов (ТР) и включения реакторов в нейтрали ТР на величину тока однофазного короткого замыкания (КЗ) на землю. Модель представляет собой распределительное устройство (РУ) 110 кВ ТЭЦ с шестью генераторами мощностью по 50 МВт, откуда электроэнергия передаётся через две двухцепные воздушные линии (ВЛ) длиной 50 км в энергосистему. В момент времени 0,5 с на шине 110 кВ РУ происходит однофазное КЗ на землю длительностью 0,5 с.
Основной целью ограничения токов однофазных КЗ является приведение их значений в соответствие с допустимыми и повышение надёжности работы оборудования. Далее рассматриваются сценарии для сравнения основных способов ограничения токов однофазных КЗ [1-3]:
1) Нейтрали всех ТР заземлены;
2) Нейтрали только двух ТР заземлены, остальные четыре разземлены;
3) Во все нейтрали ТР включены реакторы.
Также показываются процесс запуска и настройки модели из среды разработки скрипта с помощью командного управления, обработка результатов моделирования, визуализация результатов моделирования и предложены сценарии для самостоятельной работы с моделью. Осуществляется логгирование значений токов и напряжений, показаны их временные графики. Настройка модели для каждого из сценариев осуществляется с помощью изменения положений выключателей в подсистемах "Заземление", подключенных к нейтральным выводам ТР. Внешний вид модели:

Энергосистема и генераторы моделируются блоком Voltage Source (Three-Phase), установившийся режим выставлен с помощью задания действующего линейного напряжения и фазового сдвига. Сопротивления прямой и нулевой последовательности энергосистемы моделируются блоком Coupled Lines (Three-Phase). Короткое замыкание моделируется блоком Fault (Three-Phase), в настройках данного блока с помощью выпадающего меню Failure mode можно выбрать вид КЗ. Трансформаторы моделируются блоком Two-Winding Transformer (Three-Phase). ВЛ моделируются блоком Double-Circuit Transmission Line, который представляет собой П-образную схему замещения с учётом взаимоиндукции между цепями. Параметры системы:
Элемент | Параметр |
---|---|
Энергосистема | Эквивалентная ЭДС |
Генераторы 1-6 | Эквивалентная ЭДС |
ВЛ 1,2 | АС 240/32 |
ТР 1-6 | ТД-63000/110 |
Опыт при заземлении всех нейтралей ТР
Импортируем необходимый модуль для работы с графиками и строками LaTeX:
using Plots
gr()
Загрузка модели:
model_name = "grounded_neutral_network_effect";
model_name in [m.name for m in engee.get_all_models()] ? engee.open(model_name) : engee.load( "$(@__DIR__)/$(model_name).engee");
Настройка модели для первого опыта при заземлении всех нейтралей ТР осуществляется с помощью изменения значений блоков констант, подключенных к выключателям. Если значение константы равно нулю, то выключатель находится в замкнутом состоянии, иначе он размыкается. Таким образом, для заземления нейтралей ТР необходимо задать следующие значения констант:
# Замыкание всех нейтралей на землю
for i in 1:6
engee.set_param!(model_name*"/Заземление-"*string(i)*"/Constant "*string(i), "Value" => 0);
engee.set_param!(model_name*"/Заземление-"*string(i)*"/Constant_ react-"*string(i), "Value" => 1);
end
Запуск загруженной модели:
results = engee.run(model_name);
Для импорта результатов моделирования было заранее включено логгирование необходимых сигналов и заданы их имена. Преобразуем мгновенные значения токов и напряжений переменной results в отдельные вектора:
# вектор времени симуляции
sim_time = results["i_a_kz"].time;
# ток в месте КЗ
i_fault = hcat(results["i_a_kz"].value,results["i_b_kz"].value,results["i_c_kz"].value);
# напряжение нейтрали ТР 6
Un = results["Un"].value;
# напряжение фазы B в месте КЗ
v_b_kz = results["v_b_kz"].value;
График токов КЗ в месте замыкания в точке измерения 2:
plot(sim_time, i_fault./1e3, label = [L"I_a" L"I_b" L"I_c"], title = "Токи КЗ",
linecolor = [:orange :green :red], ylabel = "I, кА", xlabel="Время, c", size = (700,440))
println("Ударный ток = "*string(round(maximum(i_fault)))*" А")
print("Действующее значение периодической составляющей = "*string(round(maximum(i_fault[8000:10000,:])/sqrt(2)))*" А")
При заземлении всех нейтралей трансформаторов значения токов однофазного КЗ получились довольно большими. Целесообразно применить мероприятия для снижения этих значений для уменьшения износа выключателей и перегрузки оборудования. Для этого можно применить частичное разземление нейтралей ТР, что приведёт к увеличению суммарного сопротивления сети по нулевой последовательности и уменьшению токов однофазного КЗ. Плюсом заземления всех нейтралей является отсутствие перенапряжений на нейтралях ТР и неповреждённых фазах.
Опыт при разземлении четырёх нейтралей ТР:
Настройка модели для опыта при разземлении четырёх нейтралей ТР осуществляется с помощью изменения значений блоков констант, подключенных к выключателям. Для разземления нейтралей ТР необходимо задать следующие значения констант:
# разземление части нейтралей
for (i,j) in zip(1:6,[0 0 1 1 1 1])
engee.set_param!(model_name*"/Заземление-"*string(i)*"/Constant "*string(i), "Value" => j);
engee.set_param!(model_name*"/Заземление-"*string(i)*"/Constant_ react-"*string(i), "Value" => 1);
end
Запуск загруженной модели и импорт результатов:
results = engee.run(model_name);
# вектор времени симуляции
sim_time = results["i_a_kz"].time;
# ток в месте КЗ
i_fault = hcat(results["i_a_kz"].value,results["i_b_kz"].value,results["i_c_kz"].value);
# напряжение нейтрали ТР 6
Un = results["Un"].value;
# напряжение фазы B в месте КЗ
v_b_kz = results["v_b_kz"].value;
График токов КЗ в месте замыкания в точке измерения 2:
plot(sim_time, i_fault./1e3, label = [L"I_a" L"I_b" L"I_c"], linecolor = [:orange :green :red],
title = "Токи КЗ", ylabel = "I, кА", xlabel="Время, c", size = (700,440))
println("Ударный ток = "*string(round(maximum(i_fault)))*" А")
print("Действующая пероидическая составляющая = "*string(round(maximum(i_fault[8000:10000,:])/sqrt(2)))*" А")
За счёт разземления нейтралей четырёх ТР удалось снизить значения токов КЗ приблизительно в 1,5 раза.
График напряжения между землёй и нейтралью ТР 6:
plot(sim_time, Un./1e3, label = L"U_n", title = "Напряжение нейтрали", ylabel = "U, кВ", xlabel="Время, c", size = (700,440))
println("Действующее напряжение на нейтрали = "*string(round(maximum(Un)/sqrt(2)))*" В")
println("Коэффициент замыкания на землю = "*string(round(maximum(v_b_kz)/(110e3*sqrt(2/3)),digits=3)))
Обратной стороной частичного резземления нейтралей ТР является появление напряжения на разземлённых нейтралях. Необходимо учитывать данный факт при выборе мер по ограничению токов однофазных КЗ и не допускать превышения длительно допустимых уровней напряжений промышленной частоты на нейтралях ТР. Для снижения значений напряжений на нейтралях ТР может быть использовано заземление через реакторы. Ещё одной проблемой является повышение напряжений неповреждённых фаз (в данном примере — фазы B и C). Значение коэффициента замыкания на землю имеет значение больше чем 1,4, что недопустимо по условию работы вентильных разрядников и ОПН.
Опыт при заземлении всех ТР через реакторы
Для блочных ТР были выбраны реакторы с индуктивным сопротивлением 10 Ом. Настройка модели для опыта при заземлении нейтралей ТР через реакторы осуществляется с помощью изменения значений блоков констант, подключенных к выключателям. Для подключения реакторов необходимо задать следующие значения констант:
# подключение реакторов
for i in 1:6
engee.set_param!(model_name*"/Заземление-"*string(i)*"/Constant "*string(i), "Value" => 1);
engee.set_param!(model_name*"/Заземление-"*string(i)*"/Constant_ react-"*string(i), "Value" => 0);
end
Запуск загруженной модели и импорт результатов:
results = engee.run(model_name);
# вектор времени симуляции
sim_time = results["i_a_kz"].time;
# ток в месте КЗ
i_fault = hcat(results["i_a_kz"].value,results["i_b_kz"].value,results["i_c_kz"].value);
# напряжение нейтрали ТР 6
Un = results["Un"].value;
# напряжение фазы B в месте КЗ
v_b_kz = results["v_b_kz"].value;
График тока КЗ в месте замыкания в точке измерения 2:
plot(sim_time, i_fault./1e3, label = [L"I_a" L"I_b" L"I_c"], title = "Токи КЗ",
linecolor = [:orange :green :red], ylabel = "I, кА", xlabel="Время, c", size = (700,440))
График напряжения между землёй и нейтралью ТР 6:
plot(sim_time, Un./1e3, label = L"U_n", title = "Напряжение нейтрали", ylabel = "U, кВ", xlabel="Время, c", size = (700,440))
println("Действующее напряжение на нейтрали = "*string(round(maximum(Un)/sqrt(2)))*" В")
println("Коэффициент замыкания на землю = "*string(round(maximum(v_b_kz)/(110e3*sqrt(2/3)),digits=3)))
Подключение реакторов в нейтрали ТР приводит к увеличению общего сопротивления нулевой последовательности относительно места КЗ, за счёт чего снижаются значения токов однофазных КЗ. По сравнению с частичным разземлением нейтралей ТР данный способ позволил при незначительном увеличении значений токов КЗ значительно снизить перенапряжения на нейтрали и неповреждённых фазах.
Дополнение
Попробуйте самостоятельно изменить следующие параметры модели и исследовать, как это влияет на результаты моделирования:
- уменьшить и увеличить длину ВЛ на 25 км;
- количество разземляемых нейтралей ТР;
- увеличить сопротивление реакторов в два раза.
Выводы
В данном примере были использованы инструменты для командного управления моделью Engee и выгрузки результатов моделирования, показана работа с модулем Plots. Измеренные токи и напряжения были импортированы в Рабочую область из переменной result, затем выведены на временные графики и в виде текста. Показано и проанализировано влияние на токи однофазного КЗ разземления нейтралей ТР и включения в них реакторов.
Использование реакторов в нейтралях ТР оказалось оказалось наиболее эффективным с точки зрения уменьшения токов однофазных КЗ и ограничения перенапряжений на нейтралях и неповреждённых фазах. Однако данное мероприятие требует дополнительных капитальных и эксплуатационных затрат, поэтому при выборе способа ограничения токов однофазных КЗ каждый случай необходимо рассматривать индивидуально, с учетом всех особенностей схемы сети, характеристик оборудования и требований нормативных документов.
Ссылки
- РД 34.20.176. Руководящие указания по ограничению токов однофазных коротких замыканий в электрических сетях 110 - 220 кВ энергосистем" (утв. Минэнерго СССР 10.12.1984) URL: https://meganorm.ru/Data2/1/4294817/4294817287.htm (дата обращения 02.12.2024)
- СТО 34.01-21.1-001-2017. Распределительные электрические сети напряжением 0,4-110 кВ. Требования к технологическому проектированию. URL: https://www.rosseti.ru/upload/iblock/c59/3yblo2sg3d5w1jd1qzun11h05ypjx66f/СТО 34.01-21.1-001-2017v2022.pdf (дата обращения 09.12.2024)
- Приказ Министерства энергетики Российской Федерации от 15.01.2024 № 6
"Об утверждении Методических указаний по технологическому проектированию подстанций переменного тока с высшим напряжением 35 - 750 кВ". URL: http://publication.pravo.gov.ru/document/0001202407020008 (дата обращения 09.12.2024)