Проверка статического поведения тиристора при его включении
В этом примере мы проверим, что поведение включенного тиристора в установившемся режиме соответствует параметрам, указанным в настройках его блока:
V_GT = 0.6; #В
I_GT = 3e-6; #А
V_T = 1.2; #В
I_T = 1.0; #А
Rs = 87.0; #кОм
Тест 1. Проверка отпирающего напряжения
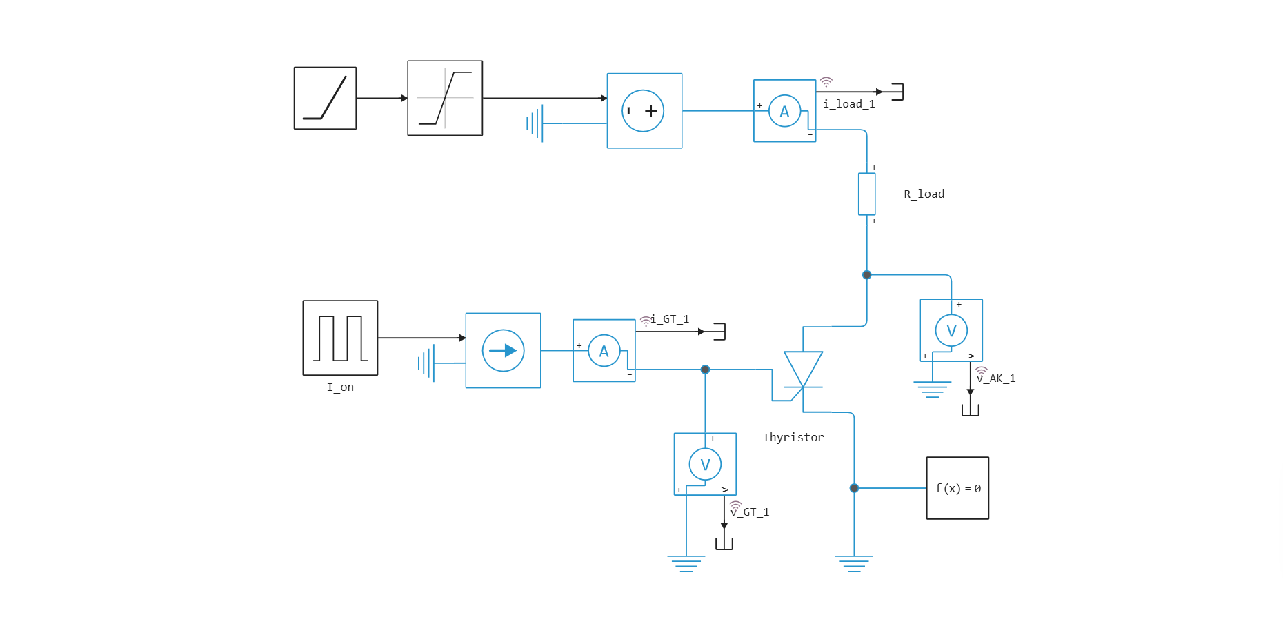
В модели Thyristor_Static_Behavior_On_1.engee тиристор запускается при подаче на затвор импульса в 3 мкА и более (Gate trigger current, I_GT).

Условия теста:
- Напряжение питания . Напряжение питания должно быть подано не резко, а постепенно, с помощью блока Линейный сигнал (Ramp), чтобы предотвратить dv/dt-запуск;
- Нагрузка ;
- В схеме нет внешнего резистора на затворе, поэтому для включения устройства импульсом 3 мкА необходимо установить значение внутреннего сопротивления шунта (Internal shunt resistor, Rs) . Если сопротивление мало, тиристор не сработает при входном токе , а если напротив слишком велико, то тиристор сработает при токе, меньшем, чем .
V_s1 = 12; #В
R_load1 = 120; #Ом
I_on1 = I_GT; #A
В этом тесте мы будем проверять, что отпирающее напряжение на управляющем электроде равно значению Corresponding gate voltage, V_GT, 0.6 В, указанному в настройках, когда ток в управляющем электроде равен току включения тиристора, Gate trigger current, I_GT, 3 мкА.
Запуск модели
engee.addpath(@__DIR__)
if "Thyristor_Static_Behavior_On_1" in [m.name for m in engee.get_all_models()]
m = engee.open( "Thyristor_Static_Behavior_On_1" ) # загрузка модели
else
m = engee.load( "Thyristor_Static_Behavior_On_1.engee" )
end
results_1 = engee.run(m, verbose=true)
Получение параметров
t_1 = results_1["i_GT_1"].time; # Время
i_GT_1 = results_1["i_GT_1"].value; # Ток затвора
v_GT_1 = results_1["v_GT_1"].value; # Напряжение между затвором и катодом
i_load_1 = results_1["i_load_1"].value; # Ток нагрузки
v_AK_1 = results_1["v_AK_1"].value; # Прямое напряжение
Построение графиков
using Plots
plotlyjs();
plot(layout=@layout([a a; b b;]), legend=:outerbottomright)
plot!(t_1, i_GT_1, subplot=1, ylabel="Ток, А", w = 2, linecolor =:blue, label="Ток затвора")
plot!(t_1, v_AK_1, subplot=2, ylabel="Напряжение, В", w = 2, linecolor =:orange, label="Прямое напряжение")
plot!(t_1, i_load_1, subplot=3, xlabel="Время, c", ylabel="Ток, А", w = 2, linecolor =:green, label="Ток нагрузки")
plot!(t_1, v_GT_1, subplot=4, xlabel="Время, c", ylabel="Напряжение, В", w = 2, linecolor =:red, label="Напряжение между затвором и катодом")
По графикам видно, что тиристор запускается при подаче на затвор импульса в 3 мкА, а напряжение между затвором и катодом действительно близко к 0.6 В.
Тест 2. Проверка падения напряжения открытого тиристора
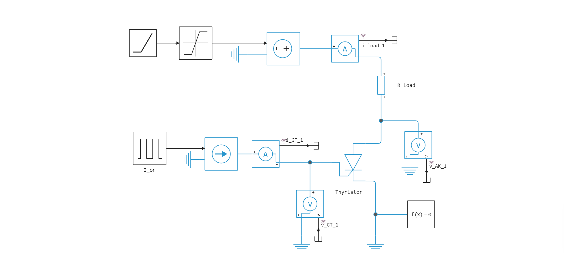
В модели Thyristor_Static_Behavior_On_2.engee используется тиристор с теми же настройками. В этом тесте мы проверим, что падение напряжения открытого тиристора , соответствует параметрам, указанным в настройках тиристора (On-state voltage) при токе нагрузки во включенном состоянии (On-state current) .

Условия теста:
- Напряжение питания (постепенная подача);
- Нагрузка ;
- Внешний резистор снижает чувствительность срабатывания тиристора. ток срабатывания увеличивается примерно до . Критический ток будет немного меньше из-за увеличенного тока анод-затвор, который вносит вклад в ток затвора.
V_s2 = 12; #В
R_load2 = 10.8; #Ом
R_GK = 1000; #Ом
I_on2 = 0.6*1e-3; #А
Запуск модели
if "Thyristor_Static_Behavior_On_2" in [m.name for m in engee.get_all_models()]
m = engee.open( "Thyristor_Static_Behavior_On_2" ) # загрузка модели
else
m = engee.load( "Thyristor_Static_Behavior_On_2.engee" )
end
results_2 = engee.run(m, verbose=true)
Получение параметров
t_2 = results_2["i_GT_2"].time; # Время
i_GT_2 = results_2["i_GT_2"].value; # Ток затвора
v_GT_2 = results_2["v_GT_2"].value; # Напряжение между затвором и катодом
i_load_2 = results_2["i_load_2"].value; # Ток нагрузки
v_AK_2 = results_2["v_AK_2"].value; # Прямое напряжение
Построение графиков
using Plots
plotlyjs();
plot(layout=@layout([a a; b b;]), legend=:outerbottomright)
plot!(t_2, i_GT_2, subplot=1, ylabel="Ток, А", w = 2, linecolor =:blue, label="Ток затвора")
plot!(t_2, v_AK_2, subplot=2, ylabel="Напряжение, В", w = 2, linecolor =:orange, label="Прямое напряжение")
plot!(t_2, i_load_2, subplot=3, xlabel="Время, c", ylabel="Ток, А", w = 2, linecolor =:green, label="Ток нагрузки")
plot!(t_2, v_GT_2, subplot=4, xlabel="Время, c", ylabel="Напряжение, В", w = 2, linecolor =:red, label="Напряжение между затвором и катодом")
По графикам видно, что ток нагрузки во включенном состоянии составляет 1 А и при этом токе падение напряжения между анодом и катодом действительно близко к 1.2 В.
Вывод
Проведя два теста на включение тиристора, мы убедились, что статическое поведение тиристора соответствует параметрам, указанным в настройках его блока.